1. 重心
什么是树的重心?
物理学而言,重心是指地球对物体中每一微小部分引力的合力作用点,物体受力最集中的那一个点。数学上的重心是指三角形的三条中线的交点。
树的重心也称为质点,有一个很官方的定义:如果在树中选择某个节点并删除,这棵树将分为若干棵子树,统计子树节点数并记录最大值。取遍树上所有节点,使此最大值取到最小的节点被称为整个树的重心。
现根据一个具体树结构解释重心的获取过程。
![C++树的重心和直径 图片[1]-C++树的重心和直径-不念博客](https://www.bunian.cn/wp-content/uploads/2023/12/640-1-16.png)
删除节点1,得到3棵子树,其子树的节点数量依次为3、4、1,最大值为4。
![C++树的重心和直径 图片[2]-C++树的重心和直径-不念博客](https://www.bunian.cn/wp-content/uploads/2023/12/640-2-16.png)
删除节点2,可得到3棵子树,其子树的节点数量依次为1、1、6,最大值为6。
![C++树的重心和直径 图片[3]-C++树的重心和直径-不念博客](https://www.bunian.cn/wp-content/uploads/2023/12/640-3-15.png)
删除节点3,可得到3棵子树,其子树的节点数量依次为2、3、5,最大值为5。
![C++树的重心和直径 图片[4]-C++树的重心和直径-不念博客](https://www.bunian.cn/wp-content/uploads/2023/12/640-4-16.png)
枚举所有节点,计算删除每一个节点后所有子树中的最大节点数量。从结果可知,只有当删除节点1后,得到子树的最大值是最小的,故节点1为此树的重心。
重心的特点:
- 树的重心如果不唯一,则至多有两个,且这两个重心相邻。如下图所示,节点
3和7都是树的重心,且在树上是相邻的。
![C++树的重心和直径 图片[5]-C++树的重心和直径-不念博客](https://www.bunian.cn/wp-content/uploads/2023/12/640-5-14.png)
- 以树的重心为根时,所有子树的大小都不超过整棵树大小的一半。
- 树中所有点到某个点的距离和中,到重心的距离和是最小的;如果有两个重心,那么到它们的距离和一样。
- 把两棵树通过一条边相连得到一棵新的树,那么新的树的重心在连接原来两棵树的重心的路径上。
- 在一棵树上添加或删除一个叶子,那么它的重心最多只移动一条边的距离。
查找树重心的算法思想:
直观来讲,删除一节点后,计算所有子树的最大值。但是,具体如何实施?
如删除节点3后,从逻辑上讲,整棵树被分成两个部分。节点3的子树部分和其它部分。
![C++树的重心和直径 图片[6]-C++树的重心和直径-不念博客](https://www.bunian.cn/wp-content/uploads/2023/12/640-6-13.png)
以节点3为根节点,使用DFS搜索算法,可以容易得到子树以及以3为根节点的树的节点数量,因为整棵树的节点数量是已知,如果知道了以节点3为根节点的子树的节点数,则其它部分的节点数量可以轻松计算出来:整棵树的节点数n-以3为根节点的子树的数量。
当然,在此过程中,需要记录最大值。如下图所示,最大值为5。
![C++树的重心和直径 图片[7]-C++树的重心和直径-不念博客](https://www.bunian.cn/wp-content/uploads/2023/12/640-7-12.png)
具体编码实现
#include <iostream>
#include <cstring>
using namespace std;
//邻接矩阵存储树节点间关系
int tree[100][100];
//记录以每一个节点为根节点时子树的节点数量
int sum[100];
//记录删除某一个节点后,其子树中节点数量最大值
int maxVal[100];
//节点数量
int n;
//深度搜索
void dfs(int u,int f) {
//以此节点为根节点的子树的初始节点数为 1
sum[u] = 1;
//记录子树中节点数量最大的值
int maxw = 0;
for (int v = 1; v <= n; v++) {
if (!tree[u][v] || v==f) continue;
//遍历子树
dfs(v,u);
//更新当前节点的子树的节点数量
sum[u] += sum[v];
//子树的节点数量是不是最大值
if (sum[v] > maxw)
maxw = sum[v];
}
//计算其它部分的节点数量,且是不是最大值
if (n - sum[u] > maxw)
maxw = n - sum[u];
//记录
maxVal[u] = maxw;
}
int main() {
cin >> n;
int i, x, y;
for (i = 1; i < n; i++) {
cin >> x >> y;
tree[x][y] = 1;
tree[y][x] = 1;
}
dfs(1,0);
//重心节点编号
int count = n, nid = 0;
for (i = 1; i <= n; i++)
if (maxVal[i] < count) {
count = maxVal[i];
nid = i;
}
cout << nid << " " << count << endl;
return 0;
}
//测试数据
9
1 2
1 3
1 4
2 5
2 6
3 7
3 8
7 9
应用案例
医院设置
题目描述
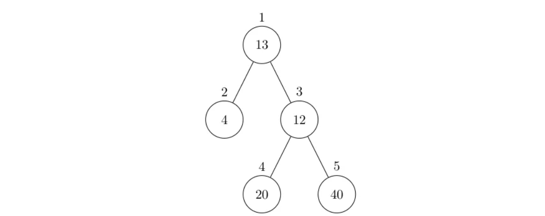
设有一棵二叉树,如图:
![C++树的重心和直径 图片[8]-C++树的重心和直径-不念博客](https://www.bunian.cn/wp-content/uploads/2023/12/a6b74f4b-f2e4-4f5f-90d7-030283675fa0.png)
其中,圈中的数字表示结点中居民的人口。圈边上数字表示结点编号,现在要求在某个结点上建立一个医院,使所有居民所走的路程之和为最小,同时约定,相邻接点之间的距离为 1。如上图中,若医院建在 1 处,则距离和 =4+12+2X20+2X40=136;若医院建在 3 处,则距离和 =4X2+13+20+40=81`。
输入格式
第一行一个整数 n,表示树的结点数。
接下来的 n 行每行描述了一个结点的状况,包含三个整数 w, u, v,其中 w 为居民人口数,u 为左链接(为 0 表示无链接),v 为右链接(为 0 表示无链接)。
输出格式
一个整数,表示最小距离和。
样例输入
5
13 2 3
4 0 0
12 4 5
20 0 0
40 0 0
样例输出
81
解题思路:
找到树的重心!注意,有权重概念。
#include <bits/stdc++.h>
using namespace std;
const int MAXN = 10010;
struct Edge {
int next, to;
} e[MAXN << 1];
int head[MAXN], idx, w[MAXN], n, size[MAXN];
long long ans = 999, f[MAXN];
inline void add(int from, int to) {
e[++idx].to = to;
e[idx].next = head[from];
head[from] = idx;
}
void dfs(int u, int fa, int dep) {
size[u] = w[u];
for(int i = head[u]; i; i = e[i].next) {
if(e[i].to != fa)
dfs(e[i].to, u, dep + 1), size[u] += size[e[i].to];
}
f[1] += w[u] * dep;
}
void dp(int u, int fa) {
for(int i = head[u]; i; i = e[i].next)
if(e[i].to != fa)
f[e[i].to] = f[u] + size[1] - size[e[i].to] * 2, dp(e[i].to, u);
ans = min(ans, f[u]);
}
int a, b;
int main() {
cin>>n;
int f,t;
for(int i=1; i<=n; i++) {
cin>>w[i];
cin>>f>>t;
add(f, t);
}
dfs(1, 0, 0);
dp(1, 0);
printf("%lld\n", ans);
return 0;
}
2. 树的直径
什么是树的直径?
树上任意两节点之间最长的简单路径即为树的「直径」。显然,一棵树可以有多条直径,他们的长度相等。可以用两次 DFS 或者树形 DP 的方法在 O(n) 时间求出树的直径。
性质:若树上所有边边权均为正,则树的所有直径中点重合。
首先从任意节点 y 开始进行第一次 DFS,到达距离其最远的节点,记为 z,然后再从 z 开始做第二次 DFS,到达距离 z 最远的节点,记为 z’,则 s(z,z’) 即为树的直径。
定理:在一棵树上,从任意节点 y 开始进行一次 DFS,到达的距离其最远的节点 z 必为直径的一端。
如果需要求出一条直径上所有的节点,则可以在第二次 DFS 的过程中,记录每个点的前序节点,即可从直径的一端一路向前,遍历直径上所有的节点。
#include <bits/stdc++.h>
using namespace std;
const int N = 10000;
//节点数
int n=0;
//存储节点到根节点的距离
int idx=0, dis[N];
//树边
vector<int> edge[N];
//DFS
void dfs(int u, int fa) {
//遍历子节点
for (int v : edge[u]) {
if (v == fa) continue;
//记录子节点的深度
dis[v] = dis[u] + 1;
//找最大深度的子节点
if (dis[v] > dis[idx]) {
idx = v;
}
dfs(v, u);
}
}
int main() {
scanf("%d", &n);
for (int i = 1; i < n; i++) {
int u, v;
scanf("%d %d", &u, &v);
edge[u].push_back(v);
edge[v].push_back(u);
dis[i]=0;
}
dfs(1, 0);
dis[idx] = 0;
dfs(idx, 0);
printf("%d\n", dis[idx]);
return 0;
}
上述证明过程建立在所有路径均不为负的前提下。如果树上存在负权边,则上述证明不成立。|故若存在负权边,则无法使用两次DFS的方式求解直径。
树形 DP
记录当以某节点作为子树的根向下,所能延伸的最长路径长度 d1 与次长路径(与最长路径无公共边)长度 d2,那么直径就是对于每一个点,该点 d_1 + d_2 能取到的值中的最大值。如下图所示,以节点1为根节点时,其最长路径和次最长路径的长度之和是是以节点1为根节点时子树的直径。
计算出以任一节点为根节点时子树的直径,再在其中选择最长的,就为整棵树的直径。
![C++树的重心和直径 图片[9]-C++树的重心和直径-不念博客](https://www.bunian.cn/wp-content/uploads/2023/12/640-9-12.png)
树形 DP 可以在存在负权边的情况下求解出树的直径。
#include <bits/stdc++.h>
using namespace std;
const int N = 10000;
int n, ans = 0;
int dis[N][2];
vector<int> edge[N];
void dfs(int u, int fa) {
dis[u][0]=dis[u][1]=0;
//遍历子节点
for (int v : edge[u]) {
if (v == fa) continue;
dfs(v, u);
int t = dis[v][0] + 1;
if (t > dis[u][0]) {
//原来最长变为次最长
dis[u][1] = dis[u][0];
//更新最长
dis[u][0] = t;
} else if (t > dis[u][1])
//更新次长
dis[u][1] = t;
}
ans = max(ans, dis[u][0] + dis[u][1]);
}
//测试
int main() {
scanf("%d", &n);
for (int i = 1; i < n; i++) {
int u, v;
scanf("%d %d", &u, &v);
edge[u].push_back(v), edge[v].push_back(u);
}
dfs(1, 0);
printf("%d\n", ans);
return 0;
}
//测度数据
9
1 2
1 3
1 4
2 5
2 6
3 7
3 8
7 9
3. 总结
树的重心和直径的概念并不难理解。重心算法中有一个很让人灵光一现的地方,以一个节点为分割点,分为子树部分和其它部分,然后利用节点总和不变原理,就能很容易求出其子树节点数和其它部分节点数,这点非常值得我们学习。









